# A tibble: 6 × 2
x y
<dbl> <chr>
1 1 John
2 2 John
3 3 Cameron
4 4 Zito
5 5 Zito
6 6 Zito
Lecture 9
Duke University
STA 199 Spring 2025
2025-02-11
Go to your ae project in RStudio.
Make sure all of your changes up to this point are committed and pushed, i.e., there’s nothing left in your Git pane.
Click Pull to get today’s application exercise file: ae-08-age-gaps-sales-import.qmd.
Wait till the you’re prompted to work on the application exercise during class before editing the file.
AEs are due by the end of class
Successful completion means at least one commit + push by 2PM today.
Worth 20% of your final grade; consists of two parts:
In-class: worth 70% of the Midterm 1 grade;
Take-home: worth 30% of the Midterm 1 grade.
All multiple choice;
You will take it in Bio Sciences 111 (this room) or Physics 128;
You get both sides of one 8.5” x 11” note sheet that you and only you created (written, typed, iPad, etc);
If you do better on the final than you do on this, the final exam score will replace this.
Important
If you have testing accommodations, make sure I get proper documentation from SDAO and make appointments in the Testing Center by Friday. The appointment should overlap substantially with our class time if possible.
Which command will replace a pre-existing column in a data frame with a new and improved version of itself?
group_bysummarizepivot_widergeom_replacemutateWhich box plot is visualizing the same data as the histogram?


Ask one of our undergrad TAs! They took the class. I didn’t.
Warning
Don’t waste space on the details of any specific applications or datasets we’ve seen (penguins, Bechdel, gerrymandering, midwest, etc). Anything we want you to know about a particular application will be introduced from scratch within the exam.
It’s not personal.
These policies apply to everyone. I don’t care who your parents are, or what medical schools you are applying to in the fall. Grow up and act right.
Before Midterm 1…
After Midterm 1…

Collection: we won’t seriously study this!
read_csv), and webscraping (next time);I sent out my lil’ survey with Google Forms, downloaded the responses in a CSV, and read that sucker in:
# A tibble: 209 × 3
Timestamp How many classes do you have on Tues…¹ `What year are you?`
<chr> <chr> <chr>
1 2/6/2025 11:33:57 3 Sophomore
2 2/6/2025 11:37:39 3 First-year
3 2/6/2025 11:40:55 2 Senior
4 2/6/2025 11:42:05 3 First-year
5 2/6/2025 11:42:46 3 Senior
6 2/6/2025 11:43:28 3 Senior
7 2/6/2025 11:44:41 3 First-year
8 2/6/2025 11:44:49 3 First-year
9 2/6/2025 11:44:51 2 Sophomore
10 2/6/2025 11:44:51 3 Sophomore
# ℹ 199 more rows
# ℹ abbreviated name: ¹`How many classes do you have on Tuesdays?`
Collection: we won’t seriously study this!
read_csv), and webscraping (next time);Preparation: cleaning, wrangling, and otherwise tidying the data so we can actually work with it.
mutate, fct_relevel, pivot_*, *_join
survey <- survey |>
rename(
tue_classes = `How many classes do you have on Tuesdays?`,
year = `What year are you?`
) |>
mutate(
tue_classes = case_when(
tue_classes == "2 -3" ~ "3",
tue_classes == "3 classes" ~ "3",
tue_classes == "Four" ~ "4",
tue_classes == "TWO MANY" ~ "2",
tue_classes == "Three" ~ "3",
tue_classes == "Two" ~ "2",
tue_classes == "Two plus a chemistry lab" ~ "3",
tue_classes == "three" ~ "3",
.default = tue_classes
),
tue_classes = as.numeric(tue_classes),
year = fct_relevel(year, "First-year", "Sophomore", "Junior", "Senior")
) |>
select(tue_classes, year)
survey# A tibble: 209 × 2
tue_classes year
<dbl> <fct>
1 3 Sophomore
2 3 First-year
3 2 Senior
4 3 First-year
5 3 Senior
6 3 Senior
7 3 First-year
8 3 First-year
9 2 Sophomore
10 3 Sophomore
# ℹ 199 more rows
Collection: we won’t seriously study this!
read_csv), and webscraping (next time);Preparation: cleaning, wrangling, and otherwise tidying the data so we can actually work with it.
mutate, fct_relevel, pivot_*, *_join
Analysis: finally transform the data into knowledge…
ggplot, geom_*, etcsummarize, group_by, count, mean, median, sd, quantile, IQR, cor, etcA human being can learn nothing from staring at this box:
Picture!
Better picture?
Numbers!
# A tibble: 17 × 4
# Groups: tue_classes [5]
tue_classes year n prop
<dbl> <fct> <int> <dbl>
1 1 Sophomore 4 0.4
2 1 Junior 4 0.4
3 1 Senior 2 0.2
4 2 First-year 25 0.439
5 2 Sophomore 19 0.333
6 2 Junior 9 0.158
7 2 Senior 4 0.0702
8 3 First-year 47 0.427
9 3 Sophomore 46 0.418
10 3 Junior 9 0.0818
11 3 Senior 8 0.0727
12 4 First-year 18 0.621
13 4 Sophomore 9 0.310
14 4 Junior 1 0.0345
15 4 Senior 1 0.0345
16 5 First-year 2 0.667
17 5 Sophomore 1 0.333
Collection: we won’t seriously study this!
read_csv), and webscraping (next time);Preparation: cleaning, wrangling, and otherwise tidying the data so we can actually work with it.
mutate, fct_relevel, pivot_*, *_join
Analysis: finally transform the data into knowledge…
ggplot, geom_*, etcsummarize, group_by, count, mean, median, sd, quantile, iqr, cor, etcThe pictures and the summaries need to work together!
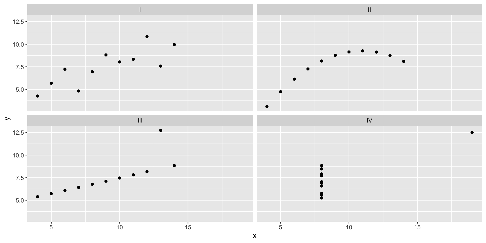
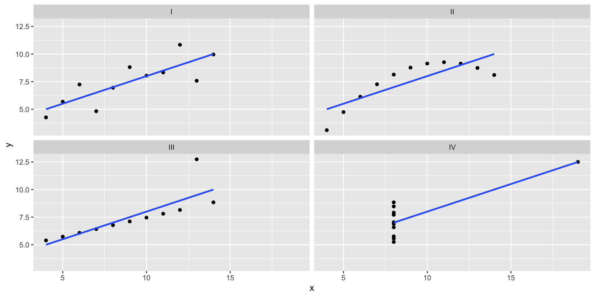
Dataset I
x y
1 10 8.04
2 8 6.95
3 13 7.58
4 9 8.81
5 11 8.33
6 14 9.96
7 6 7.24
8 4 4.26
9 12 10.84
10 7 4.82
11 5 5.68
Dataset II
x y
1 10 9.14
2 8 8.14
3 13 8.74
4 9 8.77
5 11 9.26
6 14 8.10
7 6 6.13
8 4 3.10
9 12 9.13
10 7 7.26
11 5 4.74
Dataset III
x y
1 10 7.46
2 8 6.77
3 13 12.74
4 9 7.11
5 11 7.81
6 14 8.84
7 6 6.08
8 4 5.39
9 12 8.15
10 7 6.42
11 5 5.73
Dataset IV
x y
1 8 6.58
2 8 5.76
3 8 7.71
4 8 8.84
5 8 8.47
6 8 7.04
7 8 5.25
8 19 12.50
9 8 5.56
10 8 7.91
11 8 6.89
anscombe_tidy |>
group_by(set) |>
summarize(
xbar = mean(x),
ybar = mean(y),
sx = sd(x),
sy = sd(y),
r = cor(x, y)
)# A tibble: 4 × 6
set xbar ybar sx sy r
<chr> <dbl> <dbl> <dbl> <dbl> <dbl>
1 I 9 7.50 3.32 2.03 0.816
2 II 9 7.50 3.32 2.03 0.816
3 III 9 7.5 3.32 2.03 0.816
4 IV 9 7.50 3.32 2.03 0.817
No, not alcohol by volume…
Always!Be!Visualizing!
ae-08-durham-climate-factors
Go to your ae project in RStudio.
Open ae-08-durham-climate-factors.qmd and pick up at “Recode and reorder”.
read_csv()
read_tsv(), read_delim(), etc.read_excel()
read_sheet() – We haven’t covered this in the videos, but might be useful for your projectsRead a CSV file
Split it into subsets based on features of the data
Write out subsets as CSV files
What is the story in this visualization?

Go to your ae project in RStudio.
If you haven’t yet done so, make sure all of your changes up to this point are committed and pushed, i.e., there’s nothing left in your Git pane.
If you haven’t yet done so, click Pull to get today’s application exercise file: ae-08-age-gaps-sales-import.qmd.
Work through Part 1 of the application exercise in class, and render, commit, and push your edits.
Read an Excel file with non-tidy data
Tidy it up!

Are these data tidy? Why or why not?
What “data moves” do we need to go from the original, non-tidy data to this, tidy one?

Go to your ae project in RStudio.
If you haven’t yet done so, make sure all of your changes up to this point are committed and pushed, i.e., there’s nothing left in your Git pane.
If you haven’t yet done so, click Pull to get today’s application exercise file: ae-08-age-gaps-sales-import.qmd.
Work through Part 2 of the application exercise in class, and render, commit, and push your edits.