Duke University
STA 199 Spring 2025
2025-03-31
Part 1: all things logistic regression
Part 2: a data science assessment survey
The goal of this data science assessment, to accurately measure introductory data science students’ reasoning skills.
You will be graded based on completion + honest effort. This assessment is not optional. This is meant to be an individual, closed notes assessment.
At the end, you will be asked if your anonymized responses can be used to help better improve this assessment.
forested data7107 rows and 20 columns;
Each observation (row) is a plot of land;
Variables include geographical and meteorological information about each plot, as well as a binary indicator forested (“Yes” or “No”);
Given information about a plot that is easy (and cheap) to collect remotely, can we use a model to predict if a plot is forested without actually visiting it (which could be difficult and costly)?
Use the data we’ve already seen to predict if a yet-to-be-observed plot of land is forested;
We want a model that does well on data it has never seen before;
“Out-of-sample” predictions on new data are more useful than “in-sample” predictions on old data;
To mimic this “out-of-sample” idea, we randomly split the data into two parts:
By default it’s a 75%/25% training/test split.
The split is random, but we want the results to be reproducible, so we “freeze the random numbers in time” by setting a seed. If we don’t tell you exactly what seed to use on an assignment, you can pick any positive integer you want.
forested already comes as a factor, so we’re lucky:
The base level here is “Yes”, so “No” is treated as “success” (1):
Corresponds to this model:
\[ \text{Prob}( \texttt{forested = "No"} ) = \frac{e^{\beta_0+\beta_1 x}}{1 + e^{\beta_0+\beta_1 x}}. \]
This is not a problem, but it means that in order to interpret the output correctly, you need to understand how your factors are leveled.
Similar syntax to linear regression:
forested_precip_fit <- logistic_reg() |>
fit(forested ~ precip_annual, data = forested_train)
tidy(forested_precip_fit)# A tibble: 2 × 5
term estimate std.error statistic p.value
<chr> <dbl> <dbl> <dbl> <dbl>
1 (Intercept) 1.57 0.0557 28.2 6.89e-175
2 precip_annual -0.00190 0.0000602 -31.6 5.98e-219
\[ \log\left(\frac{\hat{p}}{1-\hat{p}}\right) = 1.57 - 0.0019 \times precip. \]
\[ \begin{aligned} \log\left(\frac{\hat{p}}{1-\hat{p}}\right) &= 1.57 - 0.0019 \times precip\\ \frac{\hat{p}}{1-\hat{p}} &= e^{1.57 - 0.0019 \times precip} . \end{aligned} \]
So when \(precip = 0\), the model predicts that the odds of forested = "No" are \(e^{1.57}\approx 4.8\), on average.
At \(precip\):
\[ \frac{\hat{p}}{1-\hat{p}} = {\color{blue}{e^{1.57 - 0.0019 \times precip}}} \]
At \(precip + 1\):
\[ \begin{aligned} \frac{\hat{p}}{1-\hat{p}} &= e^{1.57 - 0.0019 \times (precip + 1)} \\ &= e^{1.57 - 0.0019 \times precip - 0.0019} \\ &= {\color{blue}{e^{1.57 - 0.0019 \times precip}}} \times \color{red}{e^{-0.0019}} \end{aligned} \]
If \(precip\) increases by one unit, the model predicts a decrease in the odds that forested = "No" by a multiplicative factor of \(e^{-0.0019}\approx 0.99\), on average.
Augment the test data frame with three new columns on the left that include model predictions (classifications and probabilities) for each row:
# A tibble: 1,777 × 23
.pred_class .pred_Yes .pred_No forested year elevation eastness northness
<fct> <dbl> <dbl> <fct> <dbl> <dbl> <dbl> <dbl>
1 Yes 0.711 0.289 No 2005 164 -84 53
2 Yes 0.968 0.0319 Yes 2003 1031 -49 86
3 Yes 0.992 0.00806 Yes 2005 1330 99 7
4 No 0.266 0.734 No 2014 507 44 -89
5 No 0.263 0.737 No 2014 542 -32 -94
6 No 0.267 0.733 No 2014 759 -2 -99
7 No 0.232 0.768 No 2014 119 0 0
8 No 0.241 0.759 No 2014 419 86 -49
9 No 0.336 0.664 Yes 2014 569 -97 -21
10 No 0.279 0.721 No 2014 340 -54 83
# ℹ 1,767 more rows
# ℹ 15 more variables: roughness <dbl>, tree_no_tree <fct>, dew_temp <dbl>,
# precip_annual <dbl>, temp_annual_mean <dbl>, temp_annual_min <dbl>,
# temp_annual_max <dbl>, temp_january_min <dbl>, vapor_min <dbl>,
# vapor_max <dbl>, canopy_cover <dbl>, lon <dbl>, lat <dbl>, land_type <fct>,
# county <fct>
These are the four possibilities:

forested column;.pred_class to the true values and see how we did.forested_precip_aug |>
count(forested, .pred_class) |>
group_by(forested) |>
mutate(
p = n / sum(n),
decision = case_when(
forested == "Yes" & .pred_class == "Yes" ~ "sensitivity",
forested == "Yes" & .pred_class == "No" ~ "false negative",
forested == "No" & .pred_class == "Yes" ~ "false positive",
forested == "No" & .pred_class == "No" ~ "specificity",
)
)# A tibble: 4 × 5
# Groups: forested [2]
forested .pred_class n p decision
<fct> <fct> <int> <dbl> <chr>
1 Yes Yes 683 0.702 sensitivity
2 Yes No 290 0.298 false negative
3 No Yes 140 0.174 false positive
4 No No 664 0.826 specificity
The model produces probabilities: .pred_Yes and .pred_No;
The concrete classifications in the .pred_class column come from applying a 50% threshold to these probabilities:
\[ \widehat{\texttt{forested}}= \begin{cases} \texttt{"No"} & \texttt{.pred\_Yes} \leq 0.5\\ \texttt{"Yes"} & \texttt{.pred\_Yes} > 0.5. \end{cases} \]
New threshold > New classifications > New error rates
New threshold > New classifications > New error rates
forested_precip_aug |>
mutate(
.pred_class = if_else(.pred_Yes <= 0.25, "No", "Yes")
) |>
count(forested, .pred_class) |>
group_by(forested) |>
mutate(
p = n / sum(n),
)# A tibble: 3 × 4
# Groups: forested [2]
forested .pred_class n p
<fct> <chr> <int> <dbl>
1 Yes Yes 973 1
2 No No 179 0.223
3 No Yes 625 0.777
New threshold > New classifications > New error rates
forested_precip_aug |>
mutate(
.pred_class = if_else(.pred_Yes <= 0.50, "No", "Yes")
) |>
count(forested, .pred_class) |>
group_by(forested) |>
mutate(
p = n / sum(n),
)# A tibble: 4 × 4
# Groups: forested [2]
forested .pred_class n p
<fct> <chr> <int> <dbl>
1 Yes No 290 0.298
2 Yes Yes 683 0.702
3 No No 664 0.826
4 No Yes 140 0.174
New threshold > New classifications > New error rates
forested_precip_aug |>
mutate(
.pred_class = if_else(.pred_Yes <= 0.75, "No", "Yes")
) |>
count(forested, .pred_class) |>
group_by(forested) |>
mutate(
p = n / sum(n),
)# A tibble: 4 × 4
# Groups: forested [2]
forested .pred_class n p
<fct> <chr> <int> <dbl>
1 Yes No 474 0.487
2 Yes Yes 499 0.513
3 No No 731 0.909
4 No Yes 73 0.0908
New threshold > New classifications > New error rates


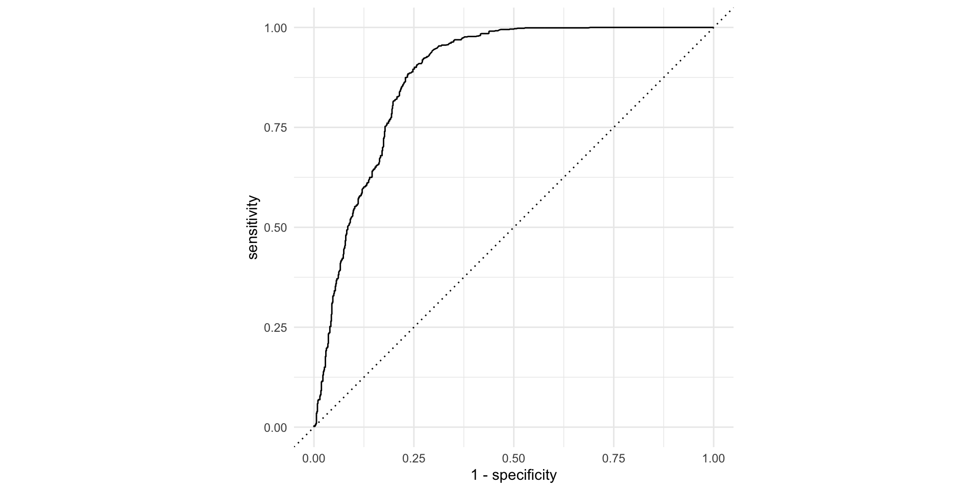
Let’s do “all” of the thresholds and connect the dots:
forested_precip_roc <- roc_curve(forested_precip_aug,
truth = forested,
.pred_Yes,
event_level = "first")
forested_precip_roc# A tibble: 1,180 × 3
.threshold specificity sensitivity
<dbl> <dbl> <dbl>
1 -Inf 0 1
2 0.224 0 1
3 0.225 0.00124 1
4 0.228 0.00249 1
5 0.228 0.00498 1
6 0.229 0.00622 1
7 0.229 0.00746 1
8 0.230 0.00995 1
9 0.230 0.0124 1
10 0.231 0.0137 1
# ℹ 1,170 more rows
ROC stands for receiver operating characteristic;
This visualizes the classification accuracy across a range of thresholds;
The more “up and to the left” it is, the better.
We can quantify “up and to the left” with the area under the curve (AUC).

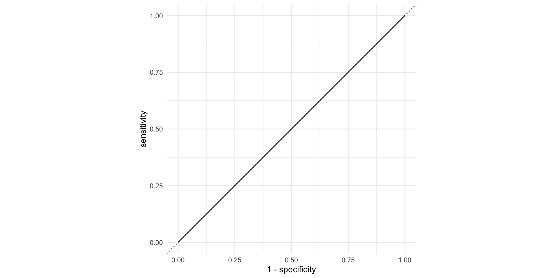
This is the best we could possibly do:

Don’t waste time fitting a model. Just flip a coin:

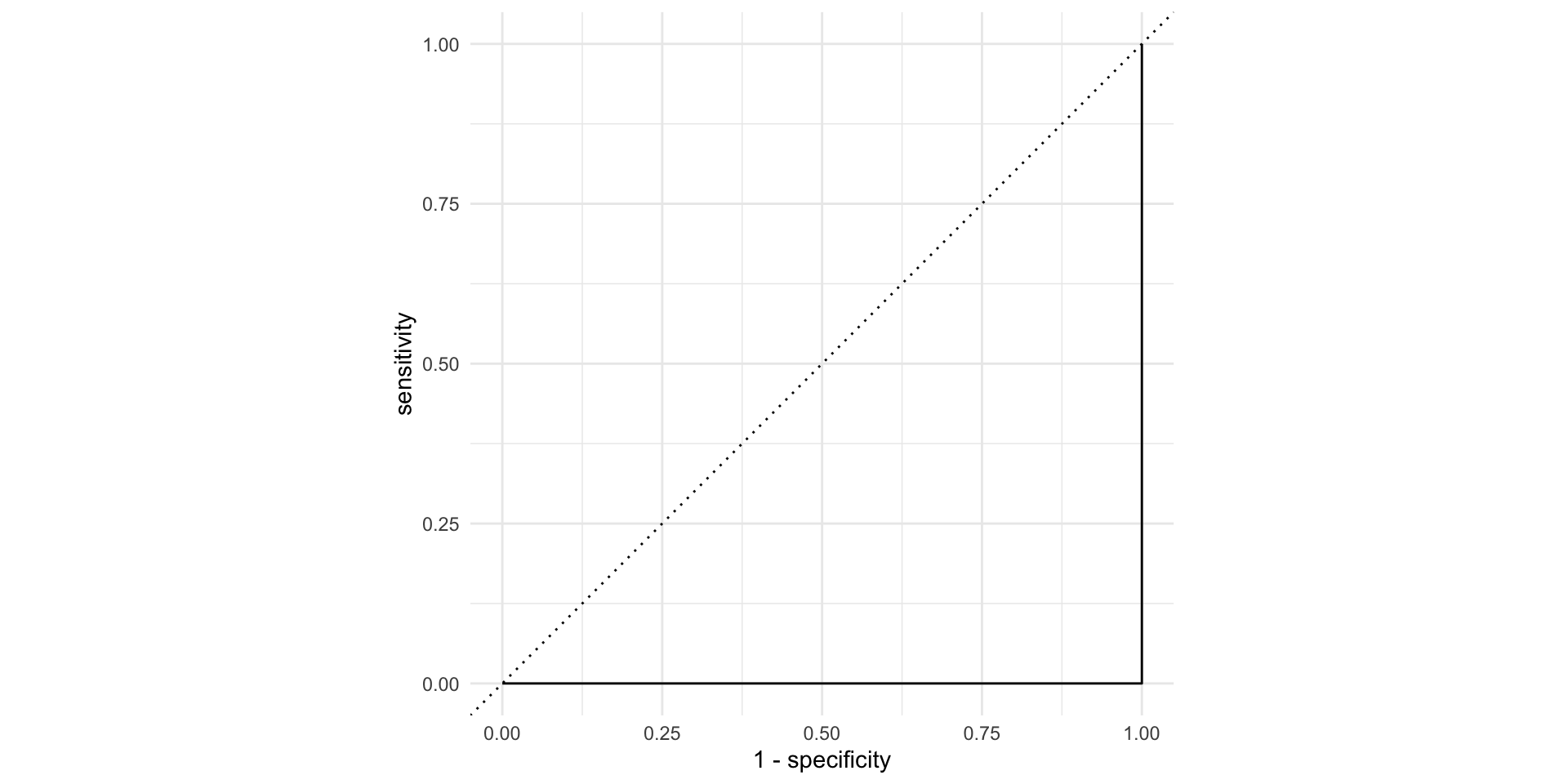
This is the worst we could possibly do:

# A tibble: 1 × 3
.metric .estimator .estimate
<chr> <chr> <dbl>
1 roc_auc binary 0.879
Not bad!
This is a “quality score” for a logistic regression model;
When you compute it for a test data set that you set aside, the AUC is a measure of out-of-sample prediction accuracy;
AUC is a number between 0 and 1, where 0 is awful and 1 is great, similar to \(R^2\) for linear regression.
The function roc_auc computes it for you, and it takes the same set of arguments as roc_curve.
logistic_regaugmentroc_curveroc_aucset.seedinitial_split, training, test
geom_pathYou will use them all on Lab 7, and they should go on your Midterm 2 cheat sheet.